The logical surmise here is that
Donald Wuerl either had some-
thing to do with Mike Ference
being forced out of his manage-
ment post or else Mike was be-
en being pressured to resign,on
account of his company's fear
of future retaliation by Wuerl,
once Wuerl got drift of the fact
that Mike intended to pursue
the investigation into his sons'
attempted murder.
The company had local Catholic institutions who were customers. If
Wuerl decided to press a retaliation button, those Catholic institutions
would no longer be lucrative clients of Mike's former employer.
The time line coincidence of the pressure tactic (to get rid of Mike) was
shortly after Mike's family received a small out of court settlement for
the attempted murder of his son, Adam. The other thing that occurred
at this time was that Mike let it be known that he was still concerned
about getting to the bottom of the attempted murder.
It's reasonable to propose that the attempted murder of Adam Ference
and Mike's insistence on getting to the bottom of it ultimately resulted
in Mike losing his management position, whether Wuerl's minions ac-
tively sought to have Mike disappear or not. This is because of fear of
a Donald Wuerl who did apply a Corruption of Blood retaliation on the
children of those parents of the now-defunct Risen Lord Parish School
who protested against Wuerl in front of TV cameras.
In addition, Mike was a National Accounts Manager. This explains why
he was so meticulous in finding information on his son's attempted. He
has a professional mindset. His investigation was a matter of a profes-
sional employing fine-tuned social skills upon person after person. He
didn't have the rank & file mindset. He didn't have a blue collar mindset.
If not for thieinvestigation that the police willingly aborted, no one any-
where would have learned that one of Cardinal Bernard Law's accused
was at Serra Catholic the day Adam was shot. Neither would anyone
have learned that there were extended efforts to have the epidemic of
animal sacrifice in the Clairton/McKeesport area curbed in the midst
of an allegedly uncooperative McKeesport Police Department. Nor
would anyone have uncovered a second suicide related to Fr. John
Wellinger.
There's more that was learned through this investigation, but the rules
of confidentiality can't reveal it at this time. None the less, Mike spent
years on his own. Mike isn't alone any longer. He has allies now. By
now, the Diocese of Pittsburgh should have reached to him. Its admin-
istrators ignored him ... a guy whose son got a bullett in the back of his
head while on Pittsburgh diocesan school grounds. Looks bad for pub-
lic relations purposes, alone. There are questions that have never been
answered. They were points of evidence uncovered which have yet to
receive a response. Such a thing is known as cover-up, as with the case
of Sotak, Torquato, and others. Now for Mike:
at work. It was Monday morning at the SYSCO Foodservice plant in
Harmony, PA. The first thing on the agenda was the traditional hellos
and tell you about my vacation later talk. It was followed by my new
boss, Todd Ladfriend, handing me $350 to $375 in cash. It was con-
test winnings.
Next on the agenda was a reminder by Landfried that I was to have my
employee-review shortly. It would be the first formal review I ever had
while at this company, despite the fact that I had been working there for
seven years. In the past, my reviews simply involved a handshake, a bon-
us check, and a thank-you for all the things that I had done for the com-
pany in question. What was most gratifying about the past reviews was
the point in the conversation where the CEO would mention the special
tasks or projects that I would tackle and excel at doing.
I was the go-to-guy for projects that no other employee had any exper-
ience at doing. In fact, I especially enjoyed those assignments. There
were years, at least one or two of them, where a handshake and a few
good words sufficed as my review. My performance was never brought
into question, even though some years were more profitable than other
ones. Plus, a bonus for me and other employees wasn’t always on the
table. This means that I had to earn my bonuses.
This review was different. New management was in charge. I was even
given two pages of questions to fill out before leaving for vacation. The
review would come just a few months after attorney Ken Behrend co-
erced my son and me into accepting the pittance of a settlement put on
the table after I called a halt to the lawsuit that I filed against the Pitts-
burgh diocese and Donald Wuerl.
Keep in mind that the year was 1992. I was only barely aware of my
battle with the Pittsburgh diocese and others. I was too trusting, think-
ing that living in America meant that I was free from being victimized by
corruption. All toll, I worked for the Pittsburgh Branch of the SYSCO
Corporation for six years. In fact, I had worked first for Deaktor Pro-
visions until we were bought out by SYSCO. I started on my wife’s
birthday and ended my career on the same date.
Upon entering the review, I was quickly informed that complaints had
been lodged against me by my customers, while I was on vacation. It
turned out that, according to my customers, none of them lodged any
complaint. None the less, the complaints were so severe that they war-
ranted me stepping down from my position as the National Accounts
Manager where I was responsible for managing and maintaining good
relations with the companies' top customers.
My first question to the vice president of sales was “Are there any op-
tions for me?" No was the answer. I asked for twenty-four hours, be-
fore giving my decision and I was granted it. My hour-long drive home
seemed even longer this time.
I knew that the claims of customer complaints were lies. This is because
I had established quite a reputation within the food service industry, and
quite frankly, I had been approached and offered jobs by two competit-
ors not long before this review. The truth is that I had most of the major
local Catholic institutions as customers. This included Seton Hill College,
La Rouche College, Duquesne University, Carlow College, and Mercy
Hospital. There were other customers, such as Slippery Rock College.
I contacted my customers one by one, asking them if they had made the
customer complaint against me. No one did. At least this is what I was
told. None the less, I asked each one to send a statement to me, saying
that they were satisfied with my service and conduct. Samples of the
letters of recommendation are posted below, needless to say.
I openly answered questions about the attempted murder of my son, as
well as answering questions about the Occult preoccupation of my son's
attempted murderer. I also discussed what I perceived to be an introduc-
tion to a bribe that was in the process of being offered to me by Archab-
bot Douglas Nowicki of St. Vincent College. In other words, I was still
a threat to Donald Wuerl, the bishop whose nexus with the homosexual
was being uncovered by Randy Engel and her confreres. Therefore, the
company feared Wuerl's retaliation of cutting off all Catholic business ac-
counts.
The logic goes this way: If I didn’t have a job, I wouldn’t be much of a
threat to Wuerl, in having to spend my time financially surviving. I would
leave SYSCO with a few thousand dollars in the bank, all the while hav-
ing a mortgage, tuition for my daughter’s private schooling, and a host of
other bills, such as utilities. I was forty years old and closer to being broke
than financially comfortable. SYSCO would even fight my unemployment
compensation claim.
There was a strange coincidence at the Pittsburgh Branch of SYCSO
Corp. In 1989, a few priests were prosecuted for savagely abusing a
couple of young boys in Washington County. I have no way of know-
ing if this is true or not, but an employee of SYSCO Foodservice said
to me that his stepson was one of the victims of the pedophile priests.
In addition, in was at the SYSCO sales meeting room where Nowicki
spoke what was construed by me as the overture of bribe, to send my
son to St. Vincent's College where Nowicki ever so coincidentally was
to be the archabbot there.
I emphasize that I have no way of knowing if this is true or not, because,
as far as I understand, the case had been sealed. What that stepfather
shared with me, if its true, would constitute a smoking gun in my case,
as far as goes motive in having me become unemployed. This would be
another reason why Donald Wuerl would have benefited in me becom-
ing unemployed and detached from Sysco, whether he actively sougth to
have me dismissed or not. What is for certain was that, in the Pittsburgh
area, there was an underlying fear of Wuerl in general, in terms of his abil-
ity to abuse power. Wuerl was neither admired nor trusted. The many
lawsuits filed against him, in the name of his Pittsburgh diocese, proves
this.
The VP of Human Resources lied through his teeth, during the unemploy-
ment compensation hearing where my appeal was denied. This means
that he let money being stolen from me through lying. Yet, there was a
silver lining for a flicker of a moment. I would file an age discrimination
claim with the PA Human Relations Commission. In not being able to
afford an attorney, I would do the research alone and fight the case my-
self.
On a cold and snow-covered morning I would head down to the State
building in Pittsburgh, across from the Post-Gazette building, to take on
SYSCO, the world’s leading foodservice distributor. There was one of
me and four of them. I felt overwhelmed.
A very nice professional woman was to handle the case. I went in alone,
first. I told her I was tired of fighting. I was overwhelmed by the four
people outside, waiting to tear into me like vultures over an almost dead
road kill. I asked her to just keep in mind that I would be okay, being
that I had started a small home-based business and with my wife, work-
ing at it full time. We would make it.
I did want the administrative law judge to know, that SYSCO was the
type of company that took advantage of its employees, and that, if a
single mom or some other victim of SYSCO would come before her,
that she should remember my story. I was ready to leave at that point,
when she insisted that I stay.
I had done my homework, she stated. My research and the case was
well-documented. I could easily expect some sort of settlement. None
the less, I again reminded her that the four were still overwhelming. She
then asked me to pick one person to come in and represent SYSCO.
I immediately knew who to pick. I said I would like the vice president
of SYSCO’s human resource department to come in. I then told her
that this fellow thinks harass is two words. We laughed and she called
him in.
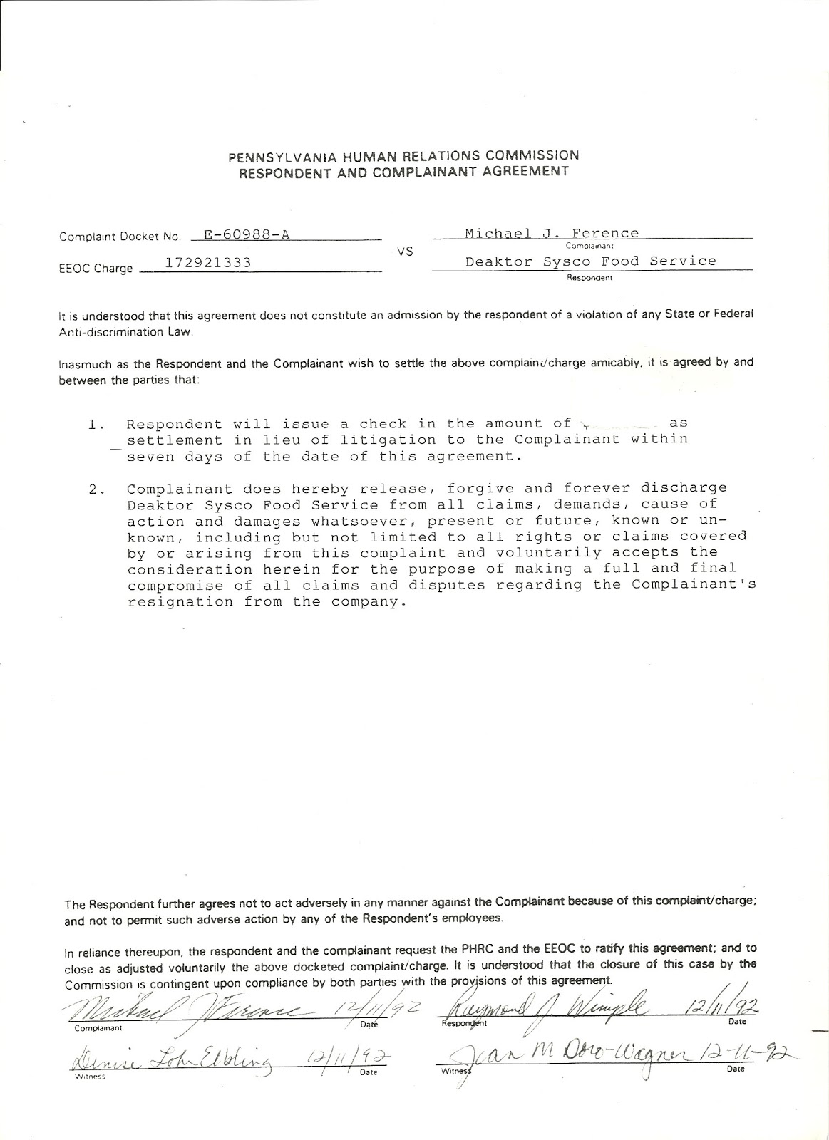
I won a small settlement. In fact, I called my wife as soon as I could do
so, because I wanted to let her know that there would be gifts under the
Christmas tree, at least one more time. The circumstantial evidence and
the time line of coincidences show that losing my job at SYSCO was just
another example of what one can suspect to have possibly been the retali-
ation of Donald Wuerl and the Pittsburgh Diocese, if not the act of a co-
wardice of an employer who feared a future retaliation from a Catholic di-
ocese whose institutions were Sysco clients. The circumstantial evidence
indicates one or the other, especially if you believe that there is no such
thing as coincidences. There was no other explanation for my dismissal.

There was no reason for SYSCO to force me out. Anyone who would like
to review a copy of my files and the research that I prepared for the PA Hu-
man Relations Commission hearing need only to call me at 412-233-5491
or to send an email to me at mike@ferencemarketing.com.
I would like to remind readers that at the time I left SYSCO I was 40 years
of age, a white college educated male. I belonged to the group most likely
not to win an age discrimination claim. But I did, and I did it with no legal
representation.

